Conformément aux engagements des plus hautes autorités, la ministre des Pêches, des Infrastructures maritimes et portuaires, Dr Fatou Diouf, a rendu publique la liste des navires autorisés à pêcher dans les eaux sous juridiction sénégalaise, à la date du 6 mai 2024.
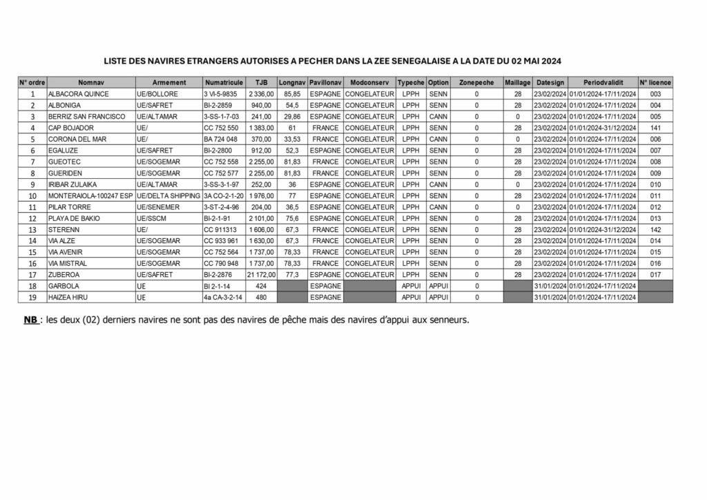
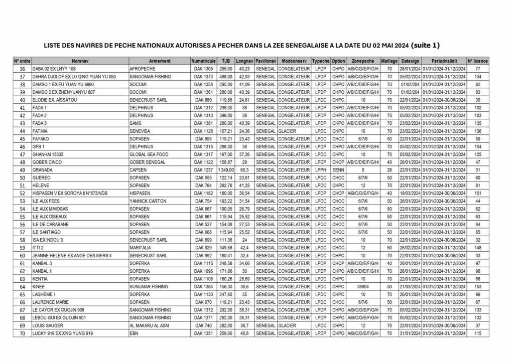
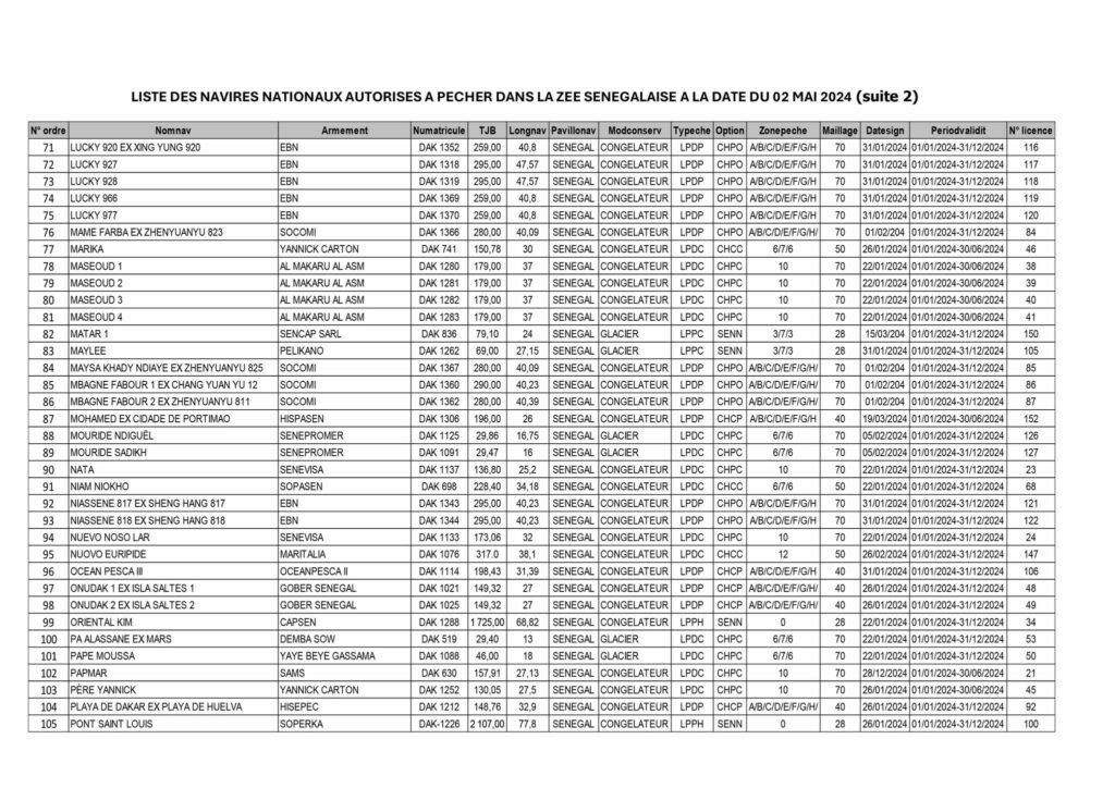
Au total, 151 navires sont autorisés à pêcher sur les eaux sénégalaises à la date du 6 mai 2024, informe la ministre des pêches, des infrastructures maritimes et portuaires. Il s’agit de 132 navires nationaux et 19 navires étrangers.
Greenpeace accuse des navires chinois de pêche illicite au large du Sénégal
A préciser, cependant, que cette liste ne tient pas compte des dossiers qui sont en cours de renouvellement. Cet acte répond au principe de transparence dans la gestion des ressources naturelles qui constituent un patrimoine national, selon la ministre des Pêches.
Voici les documents ci-dessous
arrêté
Voici une liste ordonnée et complète des navires autorisés à pêcher dans la ZEE sénégalaise au 2 mai 2024, comprenant chaque navire et ses détails :
- ACACIA – Armement : Senecrijst SARL, Numéro d’immatricule : DAK 1024, TJB : 191.66, Longnav : 31.71, Pavillon : SENEGAL, Mode de conservation : CONGELATEUR, Type de pêche : LPDC, Option : CHPC, Zone de pêche : DAK, Maillage : 6/76, Période de validité : 01/01/2024-30/06/2024, N° licence : 70.
- ADJA NDOUMBE 4/AWLAAD AMER – Armement : Adja Ndoumbe, Numéro d’immatricule : DAK 1345, Mode de conservation : CONGELATEUR, Type de pêche : LPDC, Option : CHPC, Zone de pêche : DAK, Période de validité : 01/01/2024-31/12/2024, N° licence : 70.
- ADJA NDOUMBE SYLVIE – Armement : Adrimex, Numéro d’immatricule : DAK 844, Mode de conservation : CONGELATEUR, Type de pêche : LPDC, Option : CHPC, Zone de pêche : DAK, Période de validité : 01/01/2024-31/12/2024, N° licence : 70.
- SENEGAL GLACIER – Numéro d’immatricule : DAK 819, TJB : 74.93, Longnav : 22.45, Pavillon : SENEGAL, Mode de conservation : CONGELATEUR, Type de pêche : LPDC, Option : CHCC 6/76, Période de validité : 01/01/2024-31/12/2024, N° licence : 50.
- AISSATOU EX FU YUAN YU 9888 – Type de pêche : FT 2, Numéro d’immatricule : DAK 1334, TJB : 297.00, Longnav : 41.9, Pavillon : SENEGAL, Mode de conservation : CONGELATEUR, Type de pêche : LPDC, Option : CHPC, Période de validité : 01/01/2024-31/12/2024, N° licence : 70.
- AISSATOU 2 EX FU YUAN YU 9809 – Type de pêche : FT 2, Numéro d’immatricule : DAK 1335, TJB : 297.00, Longnav : 41.9, Pavillon : SENEGAL, Mode de conservation : CONGELATEUR, Type de pêche : LPDC, Option : CHPC, Période de validité : 01/01/2024-31/12/2024, N° licence : 70.
- ALASSANE 1 EX FU YUAN YU 9881 – Type de pêche : FT 2, Numéro d’immatricule : DAK 1330, TJB : 297.00, Longnav : 41.9, Pavillon : SENEGAL, Mode de conservation : CONGELATEUR, Type de pêche : LPDC, Option : CHPC, Période de validité : 01/01/2024-31/12/2024, N° licence : 70.
- ALASSANE 2 EX FU YUAN YU 9882 – Type de pêche : FT 2, Numéro d’immatricule : DAK 1329, TJB : 297.00, Longnav : 41.9, Pavillon : SENEGAL, Mode de conservation : CONGELATEUR, Type de pêche : LPDC, Option : CHPC, Période de validité : 01/01/2024-31/12/2024, N° licence : 70.
- ALPHA 01 EX LNYY 109 – Armement : Afropeche, Numéro d’immatricule : DAK 1286, TJB : 295.00, Longnav : 40.23, Pavillon : SENEGAL, Mode de conservation : CONGELATEUR, Type de pêche : LPDP, Option : CHPO A/B/C/D/E/F/G/H, Période de validité : 01/01/2024-31/12/2024, N° licence : 70.
- ALPHA 12 EX LNYY 110 – Armement : Afropeche, Numéro d’immatricule : DAK 1287, TJB : 295.00, Longnav : 40.23, Pavillon : SENEGAL, Mode de conservation : CONGELATEUR, Type de pêche : LPDP, Option : CHPO A/B/C/D/E/F/G/H, Période de validité : 01/01/2024-31/12/2024, N° licence : 70.
- AMATH NGOM EX AFC 2 – Armement : Christian Armt, Numéro d’immatricule : DAK 1301, TJB : 16.0, Longnav : SENEGAL, Mode de conservation : CONGELATEUR, Type de pêche : LPDP, Option : CHPO A/B/C/D/E/F/G/H, Période de validité : 01/01/2024-31/12/2024, N° licence : 70.
- AMINE EX AL HIKMA – Armement : Soperka, Numéro d’immatricule : DAK 1203, TJB : 247.88, Longnav : 37.17, Pavillon : SENEGAL, Mode de conservation : CONGELATEUR, Type de pêche : LPDP, Option : CHPO A/B/C/D/E/F/G/H, Période de validité : 01/01/2024-31/12/2024, N° licence : 70.
- AMMADOU 1 EX FU YUAN YU 9885 – Type de pêche : FT 2, Numéro d’immatricule : DAK 1331, TJB : 297.00, Longnav : 41.9, Pavillon : SENEGAL, Mode de conservation : CONGELATEUR, Type de pêche : LPDP, Option : CHPO A/B/C/D/E/F/G/H, Période de validité : 01/01/2024-31/12/2024, N° licence : 70.
- AMMADOU 2 EX FU YUAN YU 9886 – Type de pêche : FT 2, Numéro d’immatricule : DAK 1332, TJB : 297.00, Longnav : 41.9, Pavillon : SENEGAL, Mode de conservation : CONGELATEUR, Type de pêche : LPDP, Option : CHPO A/B/C/D/E/F/G/H, Période de validité : 01/01/2024-31/12/2024, N° licence : 70.
- AMMADOU 3 EX FU YUAN YU 9587 – Type de pêche : FT 2, Numéro d’immatricule : DAK 1333, TJB : 297.00, Longnav : 41.9, Pavillon : SENEGAL, Mode de conservation : CONGELATEUR, Type de pêche : LPDP, Option : CHPO A/B/C/D/E/F/G/H, Période de validité : 01/01/2024-31/12/2024, N° licence : 70.
- ANTA 01 EXLNYY 101 – Armement : Afropeche, Numéro d’immatricule : DAK 1307, TJB : 295.00, Longnav : 40.23, Pavillon : SENEGAL, Mode de conservation : CONGELATEUR, Type de pêche : LPOP, Option : CHPO A/B/C/D/E/F/G/H, Période de validité : 01/01/2024-31/12/2024, N° licence : 70.
- ANTA 02 EXLNYY 102 – Armement : Afropeche, Numéro d’immatricule : DAK 1308, TJB : 295.00, Longnav : 40.23, Pavillon : SENEGAL, Mode de conservation : CONGELATEUR, Type de pêche : LPOP, Option : CHPO A/B/C/D/E/F/G/H, Période de validité : 01/01/2024-31/12/2024, N° licence : 70.
- ANTA SARR – Armement : Hispec, Numéro d’immatricule : DAK 1131, TJB : 98.00, Longnav : 40.23, Pavillon : SENEGAL, Mode de conservation : CONGELATEUR, Type de pêche : LPOP, Option : CHPO A/B/C/D/E/F/G/H, Période de validité : 01/01/2024-31/12/2024, N° licence : 70.
- ASBIYALAHOU – Armement : Adja Ndoumbe, Numéro d’immatricule : DAK 596, TJB : 47.50, Longnav : 40.23, Pavillon : SENEGAL, Mode de conservation : CONGELATEUR, Type de pêche : LPDC, Option : CHPC, Zone de pêche : 10, Période de validité : 26/01/2024-01/01/2024-31/12/2024, N° licence : 70.
- ATLANTIDE 1 – Armement : Delphinus Import Export, Numéro d’immatricule : DAK 1388, TJB : 189.00, Longnav : 22.46, Pavillon : SENEGAL, Mode de conservation : CONGELATEUR, Type de pêche : LPDC, Option : CHPC, Zone de pêche : 10, Période de validité : 23/02/2024-01/01/2024-31/12/2024, N° licence : 70.
- AUDREY – Armement : SOPASEN, Numéro d’immatricule : DAK 1240, TJB : 179.00, Longnav : 31.56, Pavillon : SENEGAL, Mode de conservation : CONGELATEUR, Type de pêche : LPDC, Option : CHPC, Zone de pêche : 10, Période de validité : 05/02/2024-01/01/2024-31/12/2024, N° licence : 70.
- BATTERIE – Armement : Yannick Carton, Numéro d’immatricule : DAK 753, TJB : 179.02, Longnav : 29.60, Pavillon : SENEGAL, Mode de conservation : CONGELATEUR, Type de pêche : LPDC, Option : CHOC, Zone de pêche : 6/7/6, Période de validité : 26/01/2024-01/01/2024-30/06/2024, N° licence : 50.
- BAYE NDONGO EX DAHLIA – Armement : Dame Ba, Numéro d’immatricule : DAK 781, TJB : 155.69, Longnav : 27.13, Pavillon : SENEGAL, Mode de conservation : CONGELATEUR, Type de pêche : LPDC, Option : CHPC, Période de validité : 27/02.2024-01/01/2024-30/06/2024, N° licence : 70.
- BETTY – Armement : SOPASEN, Mode de conservation : CONGELATEUR, Type de pêche : LPDC, Option : CHOC, Numéro d’immatricule : 6/7/6, Période de validité : 22/01/2024-01/01/2024-31/12/2024, N° licence : 50.
- BOROM NDAKOU EX CHANG YUAN YU 11 – Armement : SOCOM, Numéro d’immatricule : DAK 1359, TJB : 290.00, Longnav : 40.23, Pavillon : SENEGAL, Mode de conservation : CONGELATEUR, Type de pêche : LPDP, Option : CHPO A/B/C/D/E/F/G/H, Période de validité : 01/02/204-01/01/2024-31/12/2024, N° licence : 70.
- BOUR SALOUM EX ZHENYUANYU 822 – Armement : SOCOM, Numéro d’immatricule : DAK 1365, TJB : 280.00, Longnav : 40.00, Pavillon : SENEGAL, Mode de conservation : CONGELATEUR, Type de pêche : LPOP, Option : CHPO A/B/C/D/E/F/G/H, Période de validité : 01/02/204-01/01/2024-31/12/2024, N° licence : 70.
- CAP ATLANTIQUE EX HOEI MARU – Armement : CAPSEN, Numéro d’immatricule : DAK 1321, TJB : 768.00, Longnav : 56.78, Pavillon : SENEGAL, Mode de conservation : CONGELATEUR, Type de pêche : LPPH, Option : CANN, Période de validité : 31/01/2024-01/01/2024-31/12/2024, N° licence : 70.
- CAP ROUGE – Armement : SOPASEN, Numéro d’immatricule : DAK-427, TJB : 139.95, Longnav : 23.41, Pavillon : SENEGAL, Mode de conservation : CONGELATEUR, Type de pêche : LPDC, Option : CHOC, Période de validité : 31/01/2024-01/01/2024-31/12/2024, N° licence : 70.
- CARVISA DOS – Armement : SENEVISA, Numéro d’immatricule : DAK 1120, TJB : 235.00, Longnav : 26.74, Pavillon : SENEGAL, Mode de conservation : CONGELATEUR, Type de pêche : LPDC, Option : CHPC, Période de validité : 31/01/2024-01/01/2024-31/12/2024, N° licence : 70.
- CASTLE TOWN – Armement : SENEMER, Numéro d’immatricule : non spécifié, Pavillon : SENEGAL, Mode de conservation : CONGELATEUR, Type de pêche : LPOP, Option : CHPO A/B/C/D/E/F/G/H, Période de validité : 26/01/2024-01/01/2024-31/12/2024, N° licence : 70.
- CATHERINE ANNE – Armement : SOPASEN, Numéro d’immatricule : non spécifié, Pavillon : SENEGAL, Mode de conservation : CONGELATEUR, Type de pêche : LPOP, Option : CHPO A/B/C/D/E/F/G/H, Période de validité : 26/01/2024-01/01/2024-31/12/2024, N° licence : 70.
- CHIQUITA – Armement : HISEPEC, Numéro d’immatricule : non spécifié, Pavillon : SENEGAL, Mode de conservation : CONGELATEUR, Type de pêche : LPOP, Option : CHPO A/B/C/D/E/F/G/H, Période de validité : 26/01/2024-01/01/2024-31/12/2024, N° licence : 70.
- COLE 01 EXLNYY 105 – Armement : Afropeche, Numéro d’immatricule : DAK 1304, TJB : 295.00, Longnav : 40.23, Pavillon : SENEGAL, Mode de conservation : CONGELATEUR, Type de pêche : LPOP, Option : CHPO A/B/C/D/E/F/G/H, Période de validité : 26/01/2024-01/01/2024-31/12/2024, N° licence : 70.
- COLE 02 EX LNYY 106 – Armement : Afropeche, Numéro d’immatricule : DAK 1310, TJB : 295.00, Longnav : 40.23, Pavillon : SENEGAL, Mode de conservation : CONGELATEUR, Type de pêche : LPDP, Option : CHPO A/B/C/D/E/F/G/H, Période de validité : 26/01/2024-01/01/2024-31/12/2024, N° licence : 70.
- DABA 01 EXLNYY 107 – Armement : Afropeche, Numéro d’immatricule : DAK 1309, TJB : 295.00, Longnav : 40.23, Pavillon : SENEGAL, Mode de conservation : CONGELATEUR, Type de pêche : LPOP, Option : CHPO A/B/C/D/E/F/G/H, Période de validité : 26/01/2024-01/01/2024-31/12/2024, N° licence : 70.
- DABA 02 EX LNYY 108 – Armement : Afropeche, Numéro d’immatricule : DAK 1221, TJB : 373.00, Longnav : 34.24, Pavillon : SENEGAL, Mode de conservation : CONGELATEUR, Type de pêche : LPDP, Option : CHPO A/B/C/D/E/F/G/H, Période de validité : 28/12/2024-01/01/2024-30/06/2024, N° licence : 70.
- DAHRA DJOLOF EX LU QING YUAN YU 050 – Armement : non spécifié, Numéro d’immatricule : non spécifié, Pavillon : SENEGAL, Mode de conservation : CONGELATEUR, Type de pêche : LPOP, Option : CHPO A/B/C/D/E/F/G/H, Période de validité : 05/02/2024-01/01/2024-31/12/2024, N° licence : 70.
- DAMSO 1 EX FU YUAN YU 9890 – Type de pêche : FT 2, Numéro d’immatricule : DAK 1358, TJB : 295.00, Longnav : 41.09, Pavillon : SENEGAL, Mode de conservation : CONGELATEUR, Type de pêche : LPDP, Option : CHPO A/B/C/D/E/F/G/H, Période de validité : 01/02/204-01/01/2024-31/12/2024, N° licence : 70.
- DAMSO 2 EX ZHENYUANYU 807 – Type de pêche : FT 2, Numéro d’immatricule : DAK 1361, TJB : 280.00, Longnav : 40.39, Pavillon : SENEGAL, Mode de conservation : CONGELATEUR, Type de pêche : LPDP, Option : CHPO A/B/C/D/E/F/G/H, Période de validité : 01/02/204-01/01/2024-31/12/2024, N° licence : 70.
- ELODIE EX, AISSATOU – Armement : Sangomar Fishing, Numéro d’immatricule : DAK 1305, TJB : 295.00, Longnav : 40.23, Pavillon : SENEGAL, Mode de conservation : CONGELATEUR, Type de pêche : LPDP, Option : CHPO A/B/C/D/E/F/G/H, Période de validité : 01/02/204-01/01/2024-31/12/2024, N° licence : 70.
- FADA 1 – Armement : Sangomar Fishing, Numéro d’immatricule : DAK 1373, TJB : 488.00, Longnav : 42.93, Pavillon : SENEGAL, Mode de conservation : CONGELATEUR, Type de pêche : LPDP, Option : CHPO A/B/C/D/E/F/G/H, Période de validité : 05/02/2024-01/01/2024-31/12/2024, N° licence : 70.
- FADA 2 – Armement : Delphinus, Numéro d’immatricule : DAK 1312, TJB : 298.00, Longnav : 38, Pavillon : SENEGAL, Mode de conservation : CONGELATEUR, Type de pêche : LPDP, Option : CHPO A/B/C/D/E/F/G/H, Période de validité : 05/02/2024-01/01/2024-31/12/2024, N° licence : 70.
- FADA 5 – Armement : SAMS, Numéro d’immatricule : DAK 1381, TJB : 280.00, Longnav : 40.39, Pavillon : SENEGAL, Mode de conservation : CONGELATEUR, Type de pêche : LPDP, Option : CHPO A/B/C/D/E/F/G/H, Période de validité : 05/02/2024-01/01/2024-31/12/2024, N° licence : 70.
- FATIMA – Armement : SENEVISA, Numéro d’immatricule : DAK 1126, TJB : 107.21, Longnav : 24.36, Pavillon : SENEGAL, Mode de conservation : CONGELATEUR, Type de pêche : LPDC, Option : CHPC, Période de validité : 23/02/2024-01/01/2024-31/12/2024, N° licence : 70.
- FAYAKO – Armement : SOPASEN, Numéro d’immatricule : DAK 1315, TJB : 298.00, Pavillon : SENEGAL, Mode de conservation : CONGELATEUR, Type de pêche : LPDP, Option : CHPO A/B/C/D/E/F/G/H, Période de validité : 23/02/2024-01/01/2024-31/12/2024, N° licence : 70.
- GFB 1 – Armement : Delphinus, Numéro d’immatricule : DAK 1317, TJB : 197.00, Pavillon : SENEGAL, Mode de conservation : CONGELATEUR, Type de pêche : LPDC, Option : CHPC, Période de validité : 22/01/2024-01/01/2024-30/06/2024, N° licence : 70.
- GHANHAI 15335 – Armement : Global Sea Food, Numéro d’immatricule : DAK 1122, TJB : 158.87, Longnav : 29, Pavillon : SENEGAL, Mode de conservation : CONGELATEUR, Type de pêche : LPDP, Option : CHPO A/B/C/D/E/F/G/H, Période de validité : 05/02/2024-01/01/2024-31/12/2024, N° licence : 70.
- GOBER CINCO – Armement : Gober Senegal, Numéro d’immatricule : DAK 1237, TJB : 1349.00, Longnav : 60.3, Pavillon : SENEGAL, Mode de conservation : CONGELATEUR, Type de pêche : LPDP, Option : CHCP A/B/C/D/E/F/G/H, Période de validité : 23/02/2024-01/01/2024-17/11/2024, N° licence : 70.
- GRANADA – Armement : CAPSEN, Numéro d’immatricule : DAK 555, TJB : 122.14, Longnav : 23.61, Pavillon : SENEGAL, Mode de conservation : CONGELATEUR, Type de pêche : LPDC, Option : CHCC 6/7/6, Période de validité : 26/01/2024-01/01/2024-30/06/2024, N° licence : 70.
- GUEREO – Armement : SOPASEN, Numéro d’immatricule : DAK 764, TJB : 292.76, Longnav : 41.25, Pavillon : SENEGAL, Mode de conservation : CONGELATEUR, Type de pêche : LPDC, Option : CHPC, Période de validité : 05/02/2024-01/01/2024-31/12/2024, N° licence : 70.
- HELENE – Armement : SOPASEN, Numéro d’immatricule : DAK 1182, TJB : 180.00, Longnav : 36.54, Pavillon : SENEGAL, Mode de conservation : CONGELATEUR, Type de pêche : LPDP, Option : CHCP A/B/C/D/E/F/G/H, Période de validité : 23/02/2024-01/01/2024-31/12/2024, N° licence : 70.
- HISPASEN V EX SOROYA II N 873/NDB – Armement : HISPASEN, Numéro d’immatricule : DAK 1381, TJB : 280.00, Longnav : 40.39, Pavillon : SENEGAL, Mode de conservation : CONGELATEUR, Type de pêche : LPDP, Option : CHPO A/B/C/D/E/F/G/H, Période de validité : 05/02/2024-01/01/2024-31/12/2024, N° licence : 70.
- ILE AUX FEES – Armement : Yannick Carton, Numéro d’immatricule : DAK 754, TJB : 193.22, Longnav : 31.54, Pavillon : SENEGAL, Mode de conservation : CONGELATEUR, Type de pêche : LPDC, Option : CHCC 6/7/6, Période de validité : 26/01/2024-01/01/2024-30/06/2024, N° licence : 50.
- ILE AUX MIMOSAS – Armement : Ile Aux Oiseaux, Numéro d’immatricule : DAK 667, TJB : 190.05, Longnav : 26.79, Pavillon : SENEGAL, Mode de conservation : CONGELATEUR, Type de pêche : LPDC, Option : CHCC 6/7/6, Période de validité : 26/01/2024-01/01/2024-30/06/2024, N° licence : 50.
- ILE DE CARABANE – Armement : SOPASEN, Numéro d’immatricule : DAK 661, TJB : 115.94, Longnav : 25.52, Pavillon : SENEGAL, Mode de conservation : CONGELATEUR, Type de pêche : LPDC, Option : CHCC 6/7/6, Période de validité : 22/01/2024-01/01/2024-31/12/2024, N° licence : 50.
- ILE SANTIAGO – Armement : SOPASEN, Numéro d’immatricule : DAK 668, TJB : 115.94, Longnav : 25.52, Pavillon : SENEGAL, Mode de conservation : CONGELATEUR, Type de pêche : LPDC, Option : CHCC 6/7/6, Période de validité : 22/01/2024-01/01/2024-31/12/2024, N° licence : 50.
- ISA EX INDOU 3 – Armement : SENECRUST SARL, Numéro d’immatricule : DAK 699, TJB : 111.36, Longnav : 24, Pavillon : SENEGAL, Mode de conservation : CONGELATEUR, Type de pêche : LPDC, Option : CHCC, Période de validité : 22/01/2024-01/01/2024-30/06/2024, N° licence : 70.
- ITTI 2 – Armement : Maritalia, Numéro d’immatricule : DAK 929, TJB : 349.58, Longnav : 42.4, Pavillon : SENEGAL, Mode de conservation : CONGELATEUR, Type de pêche : LPDC, Option : CHPC, Période de validité : 22/01/2024-01/01/2024-30/06/2024, N° licence : 70.
- JEANNE HELENE EX ANGE DES MERS – Armement : SENECRUST SARL, Numéro d’immatricule : DAK 992, TJB : 160.41, Longnav : 32.4, Pavillon : SENEGAL, Mode de conservation : CONGELATEUR, Type de pêche : LPDC, Option : CHPC, Période de validité : 26/02/2024-01/01/2024-31/12/2024, N° licence : 50.
- KANBAL 3 – Armement : SOPERKA, Numéro d’immatricule : DAK 1115, TJB : 248.58, Longnav : 34.66, Pavillon : SENEGAL, Mode de conservation : CONGELATEUR, Type de pêche : LPDP, Option : CHCP A/B/C/D/E/F/G/H, Période de validité : 26/01/2024-01/01/2024-31/12/2024, N° licence : 70.
- KANBAL II – Armement : SOPERKA, Numéro d’immatricule : DAK 1108, TJB : 160.26, Longnav : 28.69, Pavillon : SENEGAL, Mode de conservation : CONGELATEUR, Type de pêche : LPDC, Option : CHPC, Période de validité : 26/01/2024-01/01/2024-31/12/2024, N° licence : 70.
- ΚΕΝΤΙΑ – Armement : SOPASEN, Numéro d’immatricule : DAK 1096, TJB : 171.86, Longnav : 30, Pavillon : SENEGAL, Mode de conservation : CONGELATEUR, Type de pêche : LPDP, Option : CHPO A/B/C/D/E/F/G/H, Période de validité : 26/01/2024-01/01/2024-31/12/2024, N° licence : 70.
- KINEE – Armement : Sunumar Fishing, Numéro d’immatricule : DAK 1384, TJB : 156.30, Longnav : 30.6, Pavillon : SENEGAL, Mode de conservation : CONGELATEUR, Type de pêche : LPDC, Option : CHPC, Période de validité : 26/01/2024-01/01/2024-31/12/2024, N° licence : 70.
- LAGHEME I – Armement : SOPERKA, Numéro d’immatricule : DAK 1130, TJB : 247.60, Pavillon : SENEGAL, Mode de conservation : CONGELATEUR, Type de pêche : LPDC, Option : CHPC, Période de validité : 26/01/2024-01/01/2024-31/12/2024, N° licence : 70.
- LAURENCE MARIE – Armement : SOPASEN, Numéro d’immatricule : DAK 670, TJB : 119.21, Longnav : 23.43, Pavillon : SENEGAL, Mode de conservation : CONGELATEUR, Type de pêche : LPDC, Option : CHPC, Période de validité : 26/01/2024-01/01/2024-31/12/2024, N° licence : 50.
- LE CAYOR EX GUOJIN 908 – Armement : Sangomar Fishing, Numéro d’immatricule : DAK 1372, TJB : 292.00, Longnav : 38.31, Pavillon : SENEGAL, Mode de conservation : CONGELATEUR, Type de pêche : LPDC, Option : CHPC, Période de validité : 22/01/2024-01/01/2024-31/12/2024, N° licence : 70.
- LEBOU GUI EX GUOJIN 901 – Armement : Sangomar Fishing, Numéro d’immatricule : DAK 1371, TJB : 292.00, Longnav : 38.31, Pavillon : SENEGAL, Mode de conservation : CONGELATEUR, Type de pêche : LPDC, Option : CHPC, Période de validité : 22/01/2024-01/01/2024-31/12/2024, N° licence : 70.
- LOUIS SAUGER – Armement : Al Makaru Al Asm, Numéro d’immatricule : DAK 740, TJB : 282.00, Longnav : 36.7, Pavillon : SENEGAL, Mode de conservation : CONGELATEUR, Type de pêche : LPDC, Option : CHPC, Période de validité : 21/03/2024-01/01/2024-31/12/2024, N° licence : 50.
- LUCKY 919 EX XING YUNG 919 – Armement : EBN, Numéro d’immatricule : DAK 1351, TJB : 259.00, Longnav : 40.8, Pavillon : SENEGAL, Mode de conservation : CONGELATEUR, Type de pêche : LPDP, Option : CHPO A/B/C/D/E/F/G/H, Période de validité : 05/02/2024-01/01/2024-31/12/2024, N° licence : 70.
- LUCKY 920 EX XING YUNG 920 – Armement : EBN, Numéro d’immatricule : DAK 1352, TJB : 259.00, Longnav : 40.8, Pavillon : SENEGAL, Mode de conservation : CONGELATEUR, Type de pêche : LPDP, Option : CHPO A/B/C/D/E/F/G/H, Période de validité : 31/01/2024-01/01/2024-31/12/2024, N° licence : 70.
- LUCKY 927 – Armement : EBN, Numéro d’immatricule : DAK 1318, TJB : 295.00, Longnav : 47.57, Pavillon : SENEGAL, Mode de conservation : CONGELATEUR, Type de pêche : LPDP, Option : CHPO A/B/C/D/E/F/G/H, Période de validité : 31/01/2024-01/01/2024-31/12/2024, N° licence : 70.
- LUCKY 928 – Armement : EBN, Numéro d’immatricule : DAK 1319, TJB : 295.00, Longnav : 47.57, Pavillon : SENEGAL, Mode de conservation : CONGELATEUR, Type de pêche : LPDP, Option : CHPO A/B/C/D/E/F/G/H, Période de validité : 31/01/2024-01/01/2024-31/12/2024, N° licence : 70.
- LUCKY 966 – Armement : EBN, Numéro d’immatricule : DAK 1369, TJB : 259.00, Longnav : 40.8, Pavillon : SENEGAL, Mode de conservation : CONGELATEUR, Type de pêche : LPDP, Option : CHPO A/B/C/D/E/F/G/H, Période de validité : 31/01/2024-01/01/2024-31/12/2024, N° licence : 70.
- LUCKY 977 – Armement : EBN, Numéro d’immatricule : DAK 1370, TJB : 259.00, Longnav : 40.8, Pavillon : SENEGAL, Mode de conservation : CONGELATEUR, Type de pêche : LPDP, Option : CHPO A/B/C/D/E/F/G/H, Période de validité : 31/01/2024-01/01/2024-31/12/2024, N° licence : 70.
- MAME FARBA EX ZHENYUANYU 823 – Armement : SOCOMI, Numéro d’immatricule : DAK 1366, TJB : 280.00, Longnav : 40.09, Pavillon : SENEGAL, Mode de conservation : CONGELATEUR, Type de pêche : LPDP, Option : CHPO A/B/C/D/E/F/G/H, Période de validité : 01/02/204-01/01/2024-31/12/2024, N° licence : 70.
- MARIKA – Armement : Yannick Carton, Numéro d’immatricule : DAK 741, TJB : 150.78, Longnav : 30, Pavillon : SENEGAL, Mode de conservation : CONGELATEUR, Type de pêche : LPDP, Option : CHPO A/B/C/D/E/F/G/H/, Période de validité : 01/02/204-01/01/2024-31/12/2024, N° licence : 70.
- MASEOUD 1 – Armement : Al Makaru Al Asm, Numéro d’immatricule : DAK 1280, TJB : 179.00, Longnav : 37, Pavillon : SENEGAL, Mode de conservation : CONGELATEUR, Type de pêche : LPDC, Option : CHPC, Période de validité : 26/01/2024-01/01/2024-30/06/2024, N° licence : 70.
- MASEOUD 2 – Armement : Al Makaru Al Asm, Numéro d’immatricule : DAK 1281, TJB : 179.00, Longnav : 37, Pavillon : SENEGAL, Mode de conservation : CONGELATEUR, Type de pêche : LPDC, Option : CHPC, Période de validité : 26/01/2024-01/01/2024-30/06/2024, N° licence : 70.
- MASEOUD 3 – Armement : Al Makaru Al Asm, Numéro d’immatricule : DAK 1282, TJB : 179.00, Longnav : 37, Pavillon : SENEGAL, Mode de conservation : CONGELATEUR, Type de pêche : LPDC, Option : CHPC, Période de validité : 22/01/2024-01/01/2024-30/06/2024, N° licence : 70.
- MASEOUD 4 – Armement : Al Makaru Al Asm, Numéro d’immatricule : DAK 1283, TJB : 179.00, Longnav : 37, Pavillon : SENEGAL, Mode de conservation : CONGELATEUR, Type de pêche : LPDC, Option : CHPC, Période de validité : 22/01/2024-01/01/2024-30/06/2024, N° licence : 70.
- MATAR 1 – Armement : SENCAP SARL, Numéro d’immatricule : DAK 836, TJB : 79.10, Longnav : 24, Pavillon : SENEGAL, Mode de conservation : GLACIER, Type de pêche : LPPC, Option : SENN, Période de validité : 3/7/3-01/01/2024-31/12/2024, N° licence : 70.
- MAYLEE – Armement : PELIKANO, Numéro d’immatricule : DAK 1262, TJB : 69.00, Longnav : 27.15, Pavillon : SENEGAL, Mode de conservation : GLACIER, Type de pêche : LPPC, Option : SENN, Période de validité : 3/7/3-01/01/2024-31/12/2024, N° licence : 70.
- MAYSA KHADY NDIAYE EX ZHENYUANYU 825 – Armement : SOCOMI, Numéro d’immatricule : DAK 1367, TJB : 280.00, Longnav : 40.09, Pavillon : SENEGAL, Mode de conservation : CONGELATEUR, Type de pêche : LPDP, Option : CHPO A/B/C/D/E/F/G/H, Période de validité : 01/02/204-01/01/2024-31/12/2024, N° licence : 70.
- MBAGNE FABOUR 1 EX CHANG YUAN YU 12 – Armement : SOCOMI, Numéro d’immatricule : DAK 1360, TJB : 290.00, Longnav : 40.23, Pavillon : SENEGAL, Mode de conservation : CONGELATEUR, Type de pêche : LPDP, Option : CHPO A/B/C/D/E/F/G/H, Période de validité : 01/02/204-01/01/2024-31/12/2024, N° licence : 70.
- MBAGNE FABOUR 2 EX ZHENYUANYU 811 – Armement : SOCOMI, Numéro d’immatricule : DAK 1362, TJB : 280.00, Longnav : 40.23, Pavillon : SENEGAL, Mode de conservation : CONGELATEUR, Type de pêche : LPDP, Option : CHPO A/B/C/D/E/F/G/H, Période de validité : 01/02/204-01/01/2024-31/12/2024, N° licence : 70.
- MOHAMED EX CIDADE DE PORTIMAO – Armement : HISPASEN, Numéro d’immatricule : DAK 1306, TJB : 196.00, Longnav : 40.39, Pavillon : SENEGAL, Mode de conservation : CONGELATEUR, Type de pêche : LPDP, Option : CHPO A/B/C/D/E/F/G/H, Période de validité : 01/02/204-01/01/2024-31/12/2024, N° licence : 70.
- MOURIDE NDIGUEL – Armement : SENEPROMER, Numéro d’immatricule : DAK 1125, TJB : 29.86, Longnav : 40.39, Pavillon : SENEGAL, Mode de conservation : CONGELATEUR, Type de pêche : LPDP, Option : CHPO A/B/C/D/E/F/G/H, Période de validité : 19/03/2024-01/01/2024-30/06/2024, N° licence : 70.
- MOURIDE SADIKH – Armement : SENEPROMER, Numéro d’immatricule : non spécifié, Pavillon : SENEGAL, Mode de conservation : CONGELATEUR, Type de pêche : LPDP, Option : CHPO A/B/C/D/E/F/G/H, Période de validité : 31/01/2024-01/01/2024-31/12/2024, N° licence : 70.
- ΝΑΤΑ – Armement : non spécifié, Numéro d’immatricule : non spécifié, Pavillon : SENEGAL, Mode de conservation : CONGELATEUR, Type de pêche : LPDP, Option : CHPO A/B/C/D/E/F/G/H, Période de validité : 01/02/204-01/01/2024-31/12/2024, N° licence : 70.
- ΝΙΑΜ ΝΙΟKHO – Armement : SENEVISA, Numéro d’immatricule : DAK 1137, TJB : 136.80, Longnav : 25.2, Pavillon : SENEGAL, Mode de conservation : CONGELATEUR, Type de pêche : LPDP, Option : CHPO A/B/C/D/E/F/G/H, Période de validité : 15/03/204-01/01/2024-31/12/2024, N° licence : 70.
- du numéro 100 :
- PAPMAR – Armement : SAMS, Numéro d’immatricule : DAK 630, TJB : 157.91, Longnav : 27.13, Pavillon : SENEGAL, Mode de conservation : CONGELATEUR, Type de pêche : LPDC, Option : CHPC, Période de validité : 22/01/2024-01/01/2024-31/12/2024, N° licence : 70.
- PÈRE YANNICK – Armement : Yannick Carton, Numéro d’immatricule : DAK 1252, TJB : 130.05, Longnav : 27.5, Pavillon : SENEGAL, Mode de conservation : CONGELATEUR, Type de pêche : LPDC, Option : CHPC, Période de validité : 22/01/2024-01/01/2024-31/12/2024, N° licence : 70.
- PLAYA DE DAKAR EX PLAYA DE HUELVA – Armement : HISEPEC, Numéro d’immatricule : DAK 1212, TJB : 148.76, Longnav : 32.9, Pavillon : SENEGAL, Mode de conservation : CONGELATEUR, Type de pêche : LPDP, Option : CHCP A/B/C/D/E/F/G/H, Période de validité : 28/12/2024-01/01/2024-30/06/2024, N° licence : 70.
- PONT SAINT LOUIS – Armement : SOPERKA, Numéro d’immatricule : DAK-1226, TJB : 107.00, Longnav : 77.8, Pavillon : SENEGAL, Mode de conservation : CONGELATEUR, Type de pêche : LPPH, Option : SENN, Période de validité : 22/01/2024-01/01/2024-31/12/2024, N° licence : 70.
- NIASSENE 817 EX SHENG HANG 817 – Armement : EBN, Numéro d’immatricule : DAK 1091, TJB : 29.47, Longnav : 16, Pavillon : SENEGAL, Mode de conservation : CONGELATEUR, Type de pêche : LPDP, Option : CHPO A/B/C/D/E/F/G/H, Période de validité : 01/02/204-01/01/2024-31/12/2024, N° licence : 70.
- NIASSENE 818 EX SHENG HANG 818 – Armement : EBN, Numéro d’immatricule : DAK 1133, TJB : 173.06, Longnav : 32, Pavillon : SENEGAL, Mode de conservation : CONGELATEUR, Type de pêche : LPDP, Option : CHPO A/B/C/D/E/F/G/H, Période de validité : 01/02/204-01/01/2024-31/12/2024, N° licence : 70.
- NUEVO NOSO LAR – Armement : SENEVISA, Numéro d’immatricule : DAK 1076, TJB : 317.00, Longnav : 38.1, Pavillon : SENEGAL, Mode de conservation : CONGELATEUR, Type de pêche : LPDP, Option : CHPO A/B/C/D/E/F/G/H, Période de validité : 05/02/2024-01/01/2024-31/12/2024, N° licence : 70.
- NUOVO EURIPIDE – Armement : Maritalia, Numéro d’immatricule : DAK 1343, TJB : 295.00, Longnav : 40.23, Pavillon : SENEGAL, Mode de conservation : CONGELATEUR, Type de pêche : LPDP, Option : CHPO A/B/C/D/E/F/G/H, Période de validité : 22/01/2024-01/01/2024-31/12/2024, N° licence : 70.
- OCEAN PESCA II – Armement : Oceanpesca, Numéro d’immatricule : DAK 1114, TJB : 198.43, Longnav : 31.39, Pavillon : SENEGAL, Mode de conservation : CONGELATEUR, Type de pêche : LPDP, Option : CHPO A/B/C/D/E/F/G/H, Période de validité : 05/02/2024-01/01/2024-31/12/2024, N° licence : 70.
- ONUDAK 1 EX ISLA SALTES 1 – Armement : Gober Senegal, Numéro d’immatricule : DAK 1021, TJB : 149.32, Longnav : 27, Pavillon : SENEGAL, Mode de conservation : CONGELATEUR, Type de pêche : LPDC, Option : CHCC 6/7/6, Période de validité : 01/02/204-01/01/2024-31/12/2024, N° licence : 70.
- ONUDAK 2 EX ISLA SALTES 2 – Armement : Gober Senegal, Numéro d’immatricule : DAK 1025, TJB : 149.32, Longnav : 27, Pavillon : SENEGAL, Mode de conservation : CONGELATEUR, Type de pêche : LPDC, Option : CHCC 6/7/6, Période de validité : 01/02/204-01/01/2024-31/12/2024, N° licence : 70.
- ORIENTAL KIM – Armement : CAPSEN, Numéro d’immatricule : DAK 1288, TJB : 1725.00, Longnav : 68.82, Pavillon : SENEGAL, Mode de conservation : CONGELATEUR, Type de pêche : LPDC, Option : CHCC 6/7/6, Période de validité : 01/02/204-01/01/2024-31/12/2024, N
- PA ALASSANE EX MARS – Armement : Demba Sow, Numéro d’immatricule : DAK 519, TJB : 29.40, Longnav : 13, Pavillon : SENEGAL, Mode de conservation : GLACIER, Type de pêche : LPDC, Option : CHPC 6/7/6, Période de validité : 22/01/2024-01/01/2024-31/12/2024, N° licence : 70.
- PAPE MOUSSA – Armement : Yaye Beye Gassama, Numéro d’immatricule : DAK 1088, TJB : 46.00, Longnav : 18, Pavillon : SENEGAL, Mode de conservation : GLACIER, Type de pêche : LPDC, Option : CHPC 6/7/6, Période de validité : 05/02/2024-01/01/2024-31/12/2024, N° licence : 70.
- numéro 100 :
- PAPMAR – Armement : SAMS, Numéro d’immatricule : DAK 630, TJB : 157.91, Longnav : 27.13, Pavillon : SENEGAL, Mode de conservation : CONGELATEUR, Type de pêche : LPDC, Option : CHPC, Période de validité : 22/01/2024-01/01/2024-31/12/2024, N° licence : 70.
- PÈRE YANNICK – Armement : Yannick Carton, Numéro d’immatricule : DAK 1252, TJB : 130.05, Longnav : 27.5, Pavillon : SENEGAL, Mode de conservation : CONGELATEUR, Type de pêche : LPDC, Option : CHPC, Période de validité : 22/01/2024-01/01/2024-31/12/2024, N° licence : 70.
- PLAYA DE DAKAR EX PLAYA DE HUELVA – Armement : HISEPEC, Numéro d’immatricule : DAK 1212, TJB : 148.76, Longnav : 32.9, Pavillon : SENEGAL, Mode de conservation : CONGELATEUR, Type de pêche : LPDP, Option : CHCP A/B/C/D/E/F/G/H, Période de validité : 28/12/2024-01/01/2024-30/06/2024, N° licence : 70.
- PONT SAINT LOUIS – Armement : SOPERKA, Numéro d’immatricule : DAK-1226, TJB : 107.00, Longnav : 77.8, Pavillon : SENEGAL, Mode de conservation : CONGELATEUR, Type de pêche : LPPH, Option : SENN, Période de validité : 22/01/2024-01/01/2024-31/12/2024, N° licence : 70.
Navires autorisées à pêcher au Sénégal
Navires autorisées à pêcher au Sénégal
Navires autorisées à pêcher au Sénégal
Navires autorisées à pêcher au Sénégal
Navires autorisées à pêcher au Sénégal

